آمار، مجموعهای از اعداد، ارقام و اطلاعات است.آمار رشته وسیعی از ریاضی است که راههای جمع آوری، خلاصه سازی و نتیجه گیری از دادهها را مطالعه میکند. این علم برای طیف وسیعی از علوم دانشگاهی از فیزیک و علوم اجتماعی گرفته تا انسانشناسی و همچنین تجارت، حکومت داری و صنعت کاربرد دارد.
علم آمار
علم آمار، خود مبتنی است بر نظریه آمار که شاخهای از ریاضیات کاربردی به حساب میآید. در نظریهٔ آمار، اتفاقات تصادفی و عدم قطعیت توسط نظریهٔ احتمالات مدلسازی میشوند. در این علم، مطالعه و قضاوت معقول در بارهٔ موضوعهای گوناگون، بر مبنای یک جمع انجام میشود و قضاوت در مورد یک فرد خاص، اصلاً مطرح نیست.
به عبارت دیگر آمار را باید علم و عمل استخراج، بسط، و توسعهٔ دانشهای تجربی انسانی با استفاده از روشهای گردآوری، تنظیم، پرورش، و تحلیل دادههای تجربی (حاصل از اندازه گیری و آزمایش) دانست..
جامعه و نمونه
وقتی یک محقق میخواهد روی موضوعی کار کند باید افراد یا اشیائی که میخواهد روی آنها این کار تحقیقی را انجام دهد مشخص نماید (جامعه مورد هدف). امّا گاهی کار روی کل جامعه هدف کاری زمانبر و هزینهبر خواهد بود. بنابراین به جای مطالعه روی کل جامعه، روی بخش از جامعه تحقیق خود را انجام میدهد که به این بخش نمونه میگویند.به عبارتی مجموعه تمام افراد یا اشیایی که درباره یک یا چند ویژگی آنها تحقیق انجام میگیرد جامعه یا جمعیت نامیده میشود. هر یک از این افراد یا اشیای یک عضو این جامعه نامیده میشوند و به بخشی از جامعه که برای مطالعه و تحقیق انتخاب میشوند نمونه میگویند و به هر یک از افراد یا اشیای انتخاب شده عضو نمونه میگویند.
متغیر چیست
متغیر، ویژگی از اعضای یک جامعه است که مورد تحقیق و بررسی و مطالعه قرار میگیرد. متغیر معمولاً از یک عضو به عضو دیگر تغییر میکند. عددی که به ویژگی یک عضو نسبت داده میشود، مقدار متغیر میشود..
متغیر کمی
به متغیرهایی که قابل اندازهگیری هستند متغیر کمی میگویند. مانند قد، وزن، سن و …..
متغیر کیفی
متغیرهایی که قابل اندازهگیری نیستند را متغیر کیفی میگویند. مانند رنگ چشم، گروه خونی، کیفیت یک میوه، میزان علاقه به تلویزیون و غیره.
از جملهٔ مهمترین اهداف آمار، میتوان تولید «بهترین» اطّلاعات از دادههای موجود و سپس استخراج دانش از آن اطّلاعات را ذکر کرد. به همین سبب است که برخی از منابع، آمار را شاخهای از نظریه تصمیمها به شمار میآورند.
*این علم به بخشهای آمار توصیفی و آمار استنباطی تقسیم میشود:.
آمار توصیفی
به مجموعه روشهایی که برای سازماندهی و خلاصه کردن و توصیف اطلاعات به کار میرود ، آمار توصیفی گفته میشود که Descriptive statistics نامیده میشود.قبل از آنالیز داده ها باید قدم های مقدماتی مشخصی برداشته شود. یک محقق وقتی با حجمی از اطلاعات کمی گردآوری شده برای تحقیق روبه رو میشود ضروری است به سازماندهی و خلاصه کردن آنها به صورت معنی دار و قابل درک اقدام کند تا نکات پنهان داده ها آشکار شود و قبل از آنکه مستقیما به سراغ آزمون های آماری برود، ابتدا به بررسی اکتشافی داده ها می پردازد. موضوع دسته ابزار سنجش توزيع جغرافيايي در جعبه ابزار آمار فضايي شامل مجموعه ابزارهایی است که آمار توصیفی جغرافیایی را بررسي ميکنند.که حاکی از مشخصات یکایک اعضای جامعه مورد بحث است. پس روشهای آمار توصیفی به همین منظور استفاده می شود.بهطور کلی ازسه روش در آمار توصیفی برای خلاصهسازی دادهها استفاده میشود: استفاده از جداول، استفاده از نمودار و محاسبه مقادیری خاص که نشاندهنده خصوصیات مهمی از دادهها باشند.
محاسبه شاخصهای مرکزی
در محاسبات آماری لازم است که ویژگیها و موقعیت کلی دادهها تعیین شود. برای این منظور شاخصهای مرکزی محاسبه میشوند. شاخصهای مرکزی در سه نوع نما (Mode) ، میانه (Median) و میانگین (Mean) هستند که هر یک کاربرد خاص خود را دارا میباشند. در تحقیقاتی که مقیاس اندازه گیری دادهها حداقل فاصله است میانگین بهترین شاخص است. ولی در تحقیقاتی که مقیاس اندازه گیری دادهها رتبهای یا اسمی است، میانه یا نما مورد استفاده قرار میگیرند.
محاسبه شاخصهای پراکندگی
شاخصهای پراکندگی برخلاف شاخصهای مرکزی هستند. آنها میزان پراکندگی یا تغییراتی را که در بین دادههای یک توزیع (نتایج تحقیق) وجود دارد، نشان میدهند. دامنه تغییرات ، انحراف چارکی (Quartile Deviation) ، واریانس (Variance) و انحراف استاندارد (Standard Deviation) شاخصهایی هستند که به همین منظور در تحقیقات مورد استفاده قرار میگیرند.
آمار استنباطی
الگوهای موجه در دادهها سازمان بندی میشوند تا نتیجه گیری در مورد جمعیتهای بزرگتر به دست آید که این کار با استفاده از آمار استنباطی صورت میگیرد و تصادفی بودن و عدم قاطعیت در مشاهدات را شناسایی میکند. این استنباطها ممکن است به شکل جوابهای بله یا خیر به سؤالات باشد (آزمون فرض)، خصوصیات عددی را برآورد کند(تخمین)، پیش گویی مشاهدات آتی باشد، توصیف ارتباط ها باشد (همبستگی) و یا مدل سازی روابط باشد (رگرسیون).
همانطور که توضیح دادیم آمار توصیفی بر خلاصهکردن ویژگیهای اصلی یک مجموعه داده متمرکز است. از طرفی، آمار استنباطی بر ایجاد تعمیم در مورد جمعیت بیشتر بر اساس یک نمونه کوچکتر از آن جمعیت متمرکز است. از آنجا که آمار استنباطی بر پیشبینی (و نه بیان واقعیتها) متمرکز است، نتایج آن معمولا به صورت یک احتمال است.جای تعجب نیست که صحت آمار استنباطی تا حد زیادی به صحت و دقت نمونههای بزرگ جمعیت بستگی دارد. ا
آمار کلاسیک و بیز
از طرف دیگر میتوان آمار را به دو بخش آمار کلاسیک و آمار بیز تقسیم بندی کرد. در آمار کلاسیک، که امروزه در دانشگاهها و دبیرستانها تدریس میگردد، ابتدا آزمایش و نتیجه را داریم و بعد بر اساس آنها فرضها را آزمون میکنیم. به عبارت دیگر ابتدا آزمایش انجام میشود و بعد فرض آزمون میگردد. در آمار بیزی ابتدا فرض در نظر گرفته میشود و دادهها با آن مطابقت داده میشوند به عبارت دیگر در آمار بیزی یک پیش توزیع داریم-توزیع پیشین- و بعد از مطالعه دادهها و برای رسیدن به آن توزیع پیشین توزیع پسین را در نظر میگیریم..
آمار فضایی
آمار فضایی را رشته مطالعاتی مربوط به روشهای آماری می دانند که از روابط مکاني و فضایی (براي نمونه، فاصله، ناحیه، حجم، طول، ارتفاع، جهت گیری، مرکزگرايي و یا سایر ویژگیهای فضایی دادهها) در محاسبات ریاضی استفاده مي کند. داده های مشاهده شدنی، در برخی فرآیندهای عملیاتی در فضا قابل دسترس هستند، و روشهايي به دنبال توصیف یا توضیح رفتار خودشان و یا سایر پدیده های فضایی دیگر که با آنها در ارتباط هستند، می باشند. آمار فضايي در انواع مختلف تحليل ها از جمله تحلیل الگو ، تحلیل شکل ، مدلسازی و پیش بینی سطح ، رگرسیون فضایی، مقایسه آماری مجموعه دادههای فضایی، مدلسازی آماري و پیش بینی درهم کنش فضایی، مورد استفاده قرار مي گيرد. اين شاخه از علم آمار، انواع آمار توصیفی، استنباطی، اکتشافي ، زمين آمار، و آمار اقتصادی را نيز شامل مي شود .
از مهمترین اهداف آمار فضایی می توان به موارد زیر اشاره کرد
توصیف چگونگی پراکندگی ها
اولین کار مطالعه جغرافیایی یا تحلیل فضایی شرح ساختار پراکندگی هاست. منظور از ساختار، وجود هر نوع رفتار فضایی به غیر از حالت تصادفی است.پراکندگی داده های جغرافیایی تصادفی نیست.هر نوع پراکندگی یک الگو نامیده می شود و یک رفتار فضایی خاص دارد که بر اثر یک دلیل خاصی ایجاد شده است. مثلا پراکندگی و کاهش تراکم درختان در دامنه شمالی البرز به دلیل تغییرات میزان بارندگی و رطوبت خاک است. برای شناخت ساختار غیر تصادفی پراکندگی ها از شاخص های آماری متعددی استفاده می شود.
شاخص های آماری در ارزیابی مفاهیم جغرافیایی
شاخص های آماری در ارزیابی مفاهیم بنیادین جغرافیایی مانند سطوح دسترسی و پراکندگی حائز اهمیت می باشد.دسته ابزار سنجش توزيع جغرافيايي در جعبه ابزار آمار فضايي شامل مجموعه ابزارهایی است که آمار توصیفی جغرافیایی را بررسي مي کنند. از جمله اين ابزارها عبارتند از: عارضه مرکزی، توزیع جهت دار، ميانگين جهت دار خطی، مرکز ميانگين، مرکز میانه و فاصله استاندارد. این مجموعه ابزار روي هم رفته اکتشاف آماری پایه را انجام ميدهند. آمار توصیفی پایه، نقطه شروع و آغازين تحلیلهاي آماري ميباشد.
مرکز میانگین(میانگین مکانی)
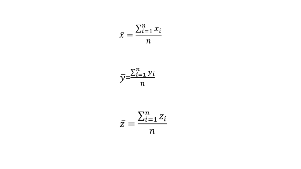
مرسوم ترين سنجش گرایش مرکزی برای داده های فضایی، میانگین مکاني (مرکز ميانگين) است، که به صورت مکان نقطه ای در یک منطقه مطالعاتی خاص ارائه می شود. بررسی میانگین مکانی (مرکزی) در آمار فضایی مشابه آمار کلاسیک است با این تفاوت که آمار فضایی به دنبال به دست آوردن مکان تعادل است. از این رو مختصات جغرافیایی مکان همچون طول (x) ، عرض (y) و گاهی اوقات ارتفاع (z) اهمیت پیدا می کند (میچل،2009). در شکل 5-1 مفهوم ساده ميانگين مکاني براي عوارض نقطه اي نشان داده شده است.
براي محاسبه ميانگين مکاني از روابط روبرو استفاده مي شود:
مختصات به دست آمده از روابط فوق نشان دهنده نقطه ميانگين مکاني است.
میانگین مکانی عوارض خطی و سطحی
ميانگين مکاني عوارض خطي و سطحي، متفاوت از ميانگين مکاني عوارض نقطه اي است و نشان دهنده نقطه تعادل فيزيکي (نقطه شاقولي) عوارض است. به عبارتی اگر خطوط يا سطوح مورد نظر از این نقطه با يک طناب فرضي آويزان شوند در حالت تعادل استاتيکي قرار می گیرد (برت و همکاران، ۱۹۹۶).همچنين می توان داده هاي سطحی را به گروه هاي مجزايي تفکیک کرده و ميانگين فضايي هر گروه را به طور مجزا مشخص نمود .
یکی از ویژگی های مهم میانگین مکانی، اینست که مجموع مربعات فواصل را به حداقل می رساند. به عبارتی دیگر:
میانگین وزنی مکانی
در صورت دخالت دادن يک ويژگي (مثلاً دما، آلودگي هوا، عمق آب و …) در ميانگين گيري مکاني، ميانگين وزني مکانی حاصل مي شود. در اینجا wi وزن عارضه i می باشد. مختصات ميانگين وزني مکاني با روابط زير قابل محاسبه مي باشد:
مرکز ثقل عوارض از لحاظ طول، عرض و ارتفاع جغرافیایی در نظر گرفته مي شود (کوهن و همکاران، ۱۹۶۲).همان طور که در قسمت بالا توضیح داده شد، وزن نسبت داده شده به مشاهدات بیانگر تأثیر یک ویژگی است. در صورتی که از بین مشاهدات چند مورد از آنها وزن بیشتری را به خود اختصاص دهند میانگین وزنی به سمت آن مشاهدات گرایش پیدا می کند. شکل زیر تأثیر وزن و جا به جایی میانگین وزنی را به خوبی نشان می دهد.
در شکل های زیر شکل سمت راست میانگین وزنی با وزن های یکسان را نشان می دهد و شکل سمت چپ میانگین وزنی با وزن های متفاوت را مشخص می کند.
مرکز میانه(میانه مکانی)
میانگین مکاني، مجموع مربعات فواصل را به حداقل می رساند. در مطالعات مکاني این تعریف کاربرد چنداني ندارد و معمولاً سعي بر آن است که مکانی را یافت که مجموع فواصل را به حداقل برساند.
مکانی که مجموع فواصل طی شده را به حداقل می رساند، به عنوان ميانه مکاني (مرکز میانه) شناخته می شود. گرچه تفسیر اين شاخص ساده تر از تفسیر میانگین مکاني است، اما محاسبه آن پیچیده تر می باشد. محاسبه میانه مکاني تکرار شونده است و با استفاده از مکان ابتدایی (میانگین مکاني) آغاز می شود. سپس، مختصات X و y جدید (که به صورت و نشان داده می شود) با استفاده از معادله زیر به روزرسانی می شود:

در روابط بالا، di فاصله نقطه i تا مکان ابتدایی مشخص شده براي ميانه مکاني می باشد. روابط فوق بار ديگر محاسبه شده و مختصات X و y جدیدي به دست می آید، در اين حالت di فاصله نقطه i تا جدیدترین مکان محاسبه شده ( ́x ́,y ) برای ميانه مکاني است. این فرآیند تکرار شونده زمانی پایان می یابد که موقعيت آخرين ميانه مکاني تفاوت معنی داری با مکانی که پیشتر محاسبه شده نداشته باشد (استودارد، 1993).
عارضه مرکزی
عارضه مرکزي، عارضه اي است که حداقل فاصله افقي را با نقطه ميانگين مکاني دارا مي باشد. براي مشخص کردن عارضه مرکزي ابتدا مرکز ثقل عوارض موجود مشخص شده و سپس فاصله افقي هر مرکز با ساير مراکز محاسبه مي شود. در مرحله بعد مجموع فواصل هر مرکز با ساير مراکز مشخص شده و عارضه اي که کمترين فراواني تجمعي فاصله را دارا باشد به عنوان عارضه مرکزي انتخاب مي شود. در شکل ۵-۸ مفهوم عارضه مرکزي در مورد تعدادي از عوارض نقطه اي نشان داده شده است.
در صورت در نظر گرفتن يک مقدار يا ويژگي براي تعيين عارضه مرکزي، مي توان عارضه مرکزي را به صورت وزني نيز مشخص کرد. به عنوان مثال در صورت وجود چند حوضه آبريز که آب دهي هر کدام از آنها مشخص است، مي توان حوضه آبريزي را تعيين کرد که آب دهي آن به ميانگين آب دهي حوضه هاي آبريز نزديک تر باشد و در عين حال نسبت به مرکز ثقل مجموع حوضه ها نيز کمترين فاصله را دارا باشد.
بررسی شاخص های پراکندگی
در آمار فضایی نیز می توان همانند آمار کلاسیک علاوه بر شاخص های مرکزی، شاخص های پراکندگی را تعریف کرد. در این بخش به برخی از مهمترین شاخص های پراکندگی اشاره می شود..
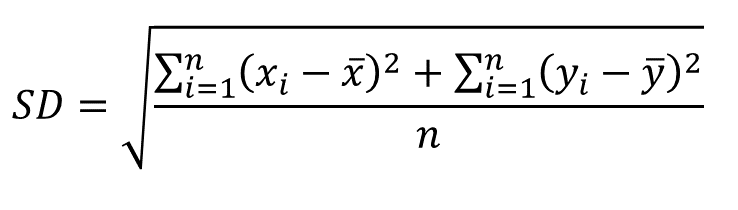
فاصله استاندارد مطلق (انحراف معیار فضایی)
در آمار کلاسیک مي توان با استفاده از دو شاخص واریانس و انحراف معیار، فاصله داده ها از نقطه تعادل (ميانگين) را مشخص کرد. اما در آمار فضایی براي مشخص کردن پراکندگی مکانی عوارض (با مختصات x و y) از مکان تعادل (ميانگين مکاني)، از شاخصي موسوم به فاصله استاندارد مطلق (انحراف معیار فضایی) استفاده مي شود (گلس، 1981) . اين شاخص با استفاده از رابطه زير محاسبه مي شود:
که در اینجا Xi و yi مختصات هر عارضه و x ̅ و y ̅ مختصات نقطه ميانگين مکاني عوارض است. همچنين با رابطه زير مي توان فاصله استاندارد وزني را محاسبه کرد:
در رابطه فوق Wi وزن (يا مقدار) عارضه i می باشد.
فاصله استاندارد مطلق معمولاً با استفاده از يک دايره به شعاع SD و با مرکزيت نقطه ميانگين مکاني نشان داده مي شود . مسلماً هرچه شعاع اين دايره بيشتر باشد، پراکندگي نقاط نسبت به نقطه تعادل (ميانگين مکاني) بيشتر است. فاصله استاندارد مطلق براي عوارض خطي و سطحی، مرکز ثقل اين عوارض را در محاسبات مدنظر قرار مي دهد (ریودیل، 1983).
